Durante siglos las acequias de Sierra Nevada han sido mucho más que simples canales de riego, estructuras cuyo origen del Imperio Romano, alcanzan su esplendor en época andalusí, constituyen un sofisticado sistema de gestión hídrica que distribuye el agua y la infiltra en las zonas altas para que resurja más tarde en cotas inferiores.

Mapa de las acequias de Sierra Nevada. Crédito: J. Aparicio-Ibáñez et al.
Ahora investigadores de la Universidad de Córdoba (UCO) han logrado cuantificar mediante imágenes satelitales tomadas a lo largo de 26 años, hasta qué punto estas acequias influyen en el contenido de agua del suelo y en el vigor de la vegetación circundante.

Otra vista de una acequia romana en Sierra Nevada. Crédito: Universidad de Granada / https://canal.ugr.es/noticia/sierra-nevada-sistema-recarga-agua-subterranea-mas-antiguo-europa/
Los investigadores son Javier Aparicio, Rafael Pimentel y María José Polo, del grupo de Dinámica Fluvial e Hidrología, junto a Francisco Bonet, de Ecología Terrestre, y analiza el impacto de estas infraestructuras en un radio de más de 200 metros alrededor de los canales.

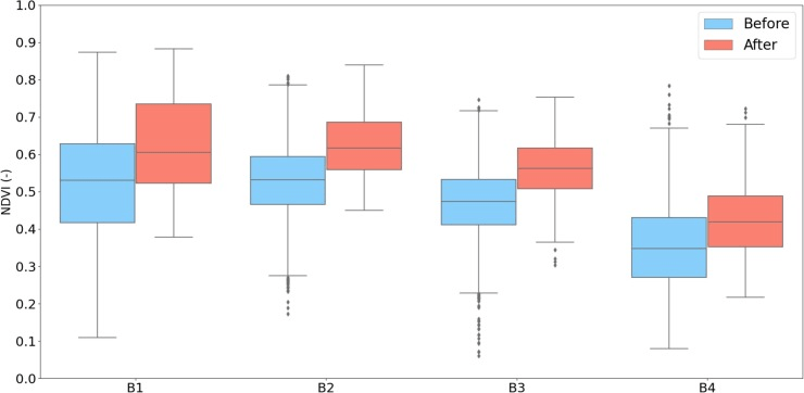
Para ello utilizan el Índice de Vegetación de Diferencia Normalizada (NDVI), una herramienta que permite evaluar la salud y densidad de la vegetación a partir de imágenes captadas por satélite entre 1984 y 2020, algunas de ellas procesadas en el marco del proyecto ECOPOTENTIAL.

El Parque Natural de Sierra Nevada alberga más de 700 kilómetros de estas acequias, muchas de ellas todavía en funcionamiento, cuya labor no se limita a transportar agua para riego sino que desempeñan un papel fundamental en la recarga de acuíferos, infiltrando el agua del deshielo en las zonas altas para que, meses después, emerja en manantiales y fuentes naturales de los pueblos situados en cotas más bajas. Pero lo que el equipo de la UCO ha descubierto va aún más lejos es que el efecto hidrológico de estas acequias se extiende mucho más allá de sus márgenes inmediatos.

Los resultados son reveladores: aunque como era de esperar, los valores de NDVI —y, por tanto, el vigor de la vegetación— es más altos en las zonas más próximas a las acequias, también se registran niveles elevados en otras áreas más alejadas, lo que indica que el efecto humectante de estos canales alcanza distancias mucho mayores de lo que se pensaba.

Explica Javier Aparicio:
Lo sorprendente es que, incluso en la zona de 50 a 200 metros, los valores de NDVI seguían siendo altos, lo que sugiere que la influencia de las acequias va más allá de los primeros 50 metros.

El estudio detectó un patrón estacional en los datos, con una clara correlación entre la dinámica hidrológica de la cuenca y el comportamiento de la vegetación, un vínculo que se acentúa en las áreas más cercanas a los canales.

Además del análisis general, que incluyó 45 de las acequias más largas de Sierra Nevada, el equipo centró parte de su trabajo en un caso concreto, la acequia Barjas, restaurada en 2014 por el proyecto MEMOLA de la Universidad de Granada.
Tras la intervención, los valores de NDVI aumentaron un 19%, con un incremento especialmente notable en la parte baja del canal, donde antes de la restauración el agua no llegaba de manera adecuada.
Este hallazgo demuestra la eficacia de estas estructuras en un contexto en el que la tecnificación de la gestión hídrica en zonas remotas resulta extremadamente compleja.
Dice Aparicio:
Estos sistemas tradicionales siguen aportando un valor incalculable tanto para las poblaciones locales como para el medioambiente.
Uno de los retos a los que se enfrentaron los investigadores fue la escasez de estudios previos sobre infraestructuras hidráulicas tan específicas, lo que les obligó a adaptar metodologías habitualmente empleadas en ríos o sistemas de mayor escala. Sin embargo, el éxito de este enfoque abre la puerta a su aplicación en otros entornos con sistemas similares, como los existentes en el Atlas marroquí.
Javier Aparicio-Ibáñez, Rafael Pimentel, et al., Using NDVI-derived vegetation vigour as a proxy for soil water content in Mediterranean-mountain traditional water management systems: Seasonal variability and restoration impacts. Ecological Indicators, Volume 174, May 2025, 113468. doi.org/10.1016/j.ecolind.2025.113468
La Brújula Verde
